Hi, Bloodgrooves, Fullers and Blade Stiffness
Eli Steenput
This article was published in the Journal of Japanese Sword Arts #91 (April 1998).
Whatever their name, there seem to be quite a lot of bizarre opinions floating around as to the intended function of fullers on swordblades, and how this function is achieved. In this article, I want to focus on the effect of a fuller on the weight and stiffness of a swordblade.
The following is quoted from a FAQ that was recently distributed on the iaido-l mailing list. The quote is attributed to a well-respected swordsmith, and although not actually erronous, could (in my humble opinion) lead to misleading interpretation:
"In an unfullered blade, you only have a "single" center spine. This is especially true in terms of the flattened diamond cross section common to most unfullered double-edged blades. <snip> Fullering produces two "spines" on the blade, one on each side of the fuller where the edge bevels come in contact with the fuller. This stiffens the blade, and the difference between a non-fullered blade and a fullered one is quite remarkable."
The above seems to suggest that you could actually stiffen a blade by cutting a fuller through stock removal. This is absolutely false.
Some physics:
The stiffness of a beam is determined by two physical properties: the modulus of elasticity E of the material, and the moment of inertia I of its cross-section. Fullers will influence the stiffness of a blade by changing I.
To determine I, we have to draw a pair of axes in the centre
of gravity of the cross-section. The I matrix
is
then determined by the following integrals over the area A of the
cross-section:
![]()
There will exist a pair of axes, called the neutral axes, for which the component Ixy is zero. This means that a force applied in the direction of one neutral axis will cause the beam to bend exactly in the direction of the axis. That way the stiffness along the two axes can be decoupled and studied separately. If the cross-section has any symmetry, usually the neutral axes are the same as the symmetry axes. In the following we assume to be working with neutral axes.

Diamond cross-section with neutral axes.

Illustration of neutral axes: a sideways force (along the neutral axis) will cause the blade to bend sideways, but a force along another axis will cause bending at an angle.
Note: I use the term "force" instead of the more correct "bending moment" for simplicity. If you care, then this was not written for you anyway.
The stiffness in one of the main directions (let's say sideways) is the integral of the section's area times the square of its distance from the neutral axis perpendicular to this direction. So the more area is farther from the axis, the greater the moment of inertia, and the stiffer the shape.
For simplicity, we will limit ourselves to cross-sections consisting of rectangles. The integral then becomes a simple sum:
![]()
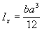
For a rectangle of height a and width b, it is easily obtained that
![]()
On to the examples:
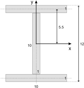
Consider the following I beam:

The weight (total area) of this beam is 30. If a force comes from above, bending will be determined by the moment of inertia around the horizontal x-axis:
![]()
Because there are two large pieces of cross-section a good distance away from the x-axis, the beam is very stiff along this direction, even though there is only one 'spine'.
If the force is applied sideways, the moment of inertia around the vertical y-axis will determine the amount of bending:
![]()
There are two 'spines' in this direction. However, the momentum of inertia is smaller, because most of the area is closer to the y-axis. The I beam is far less stiff in this direction. (If you don't believe this, look at any ugly building and check how the I beams are oriented).
However, the I beam is less stiff than a solid beam with the same size, for which
![]()
and the weight is 120.
But it is a lot still stiffer than a solid beam of the same weight, because the available material is placed further away from the axes. Let's say the beam is 10 by 3 (weight =30). This gives:
![]()
Comparison Chart:

Conclusion
If we substitute a swordblade for the I-beam, we can conclude that a fuller will lighten a sword, and a sword with a fuller will be stiffer than a solid sword of the same weight, but cutting a fuller in a sword will *not* make that sword stiffer. It will make it lighter while maintaining most of its stiffness.
However, due to the reduced weight, the fullered blade may "feel" stiffer if you wiggle it, because the force of inertia acting on the blade will be smaller. Another factor to consider is the difference between a forged fuller and a cut fuller. According to certain bladesmiths, a skilfully forged fuller will strengthen the blade by locally changing the crystal size or something like that. I assume the key word here is "skillful".
Another interesting observation is that a fullered blade will be stiffer edgeways as well as sideways. The wider the fuller (or the greater the distance between the "spines") the stiffer the blade will be, edgeways.
